• Предмет: Алгебра
  • Автор: 56fd290k
  • Вопрос задан 3 года назад

ДАЮ МНОГО БАЛОВ ЗА ХОРОШИЙ ОТВЕТ
ЗА СПАМ ПОЖАЛЕЕТЕ!!!!!

Приложения:

Ответы

Ответ дал: Lovelesss
2

Ответ:

Объяснение:

1. представим число к следующим образом

n=3∗k+2, k∈Z

т.е любое число, которое делится на 3 с остатком можно представить в этой форме (11 = 3*3+2, 5 = 3*1+2). Найдем остаток от деления числа

n+31=3∗k+2+31=3∗k+33=3∗k+3∗11=11∗(k+11)

Остатка нет, значит ответ - а.

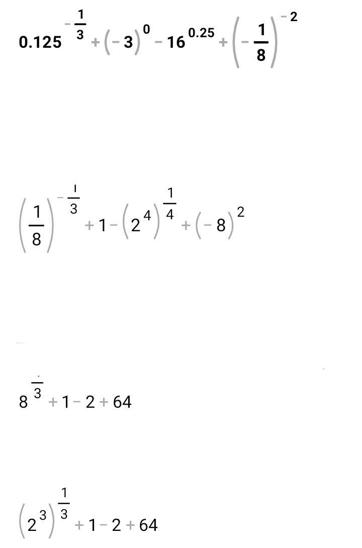
2. Г решение на фотке.

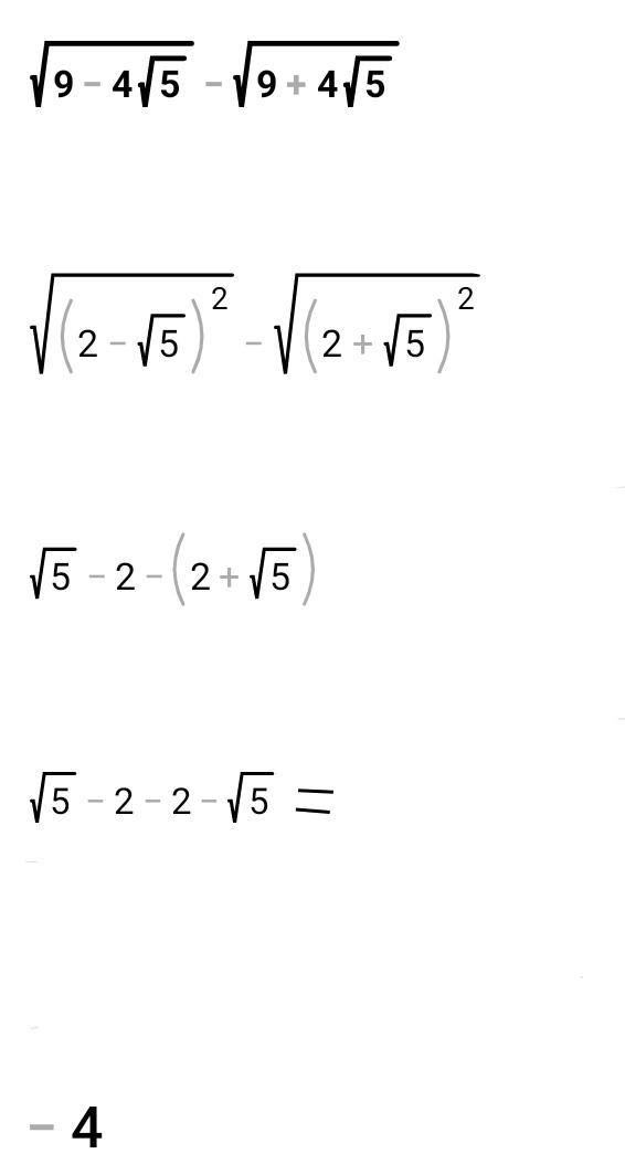
3. Б так же на фотке ниже решение

Приложения:
Вас заинтересует