• Предмет: Математика
  • Автор: uliboktebededmakar
  • Вопрос задан 3 года назад

СРОЧНО НУЖНО ПОМОЩЬ ЗАРАНЕЕ СПАСИБО



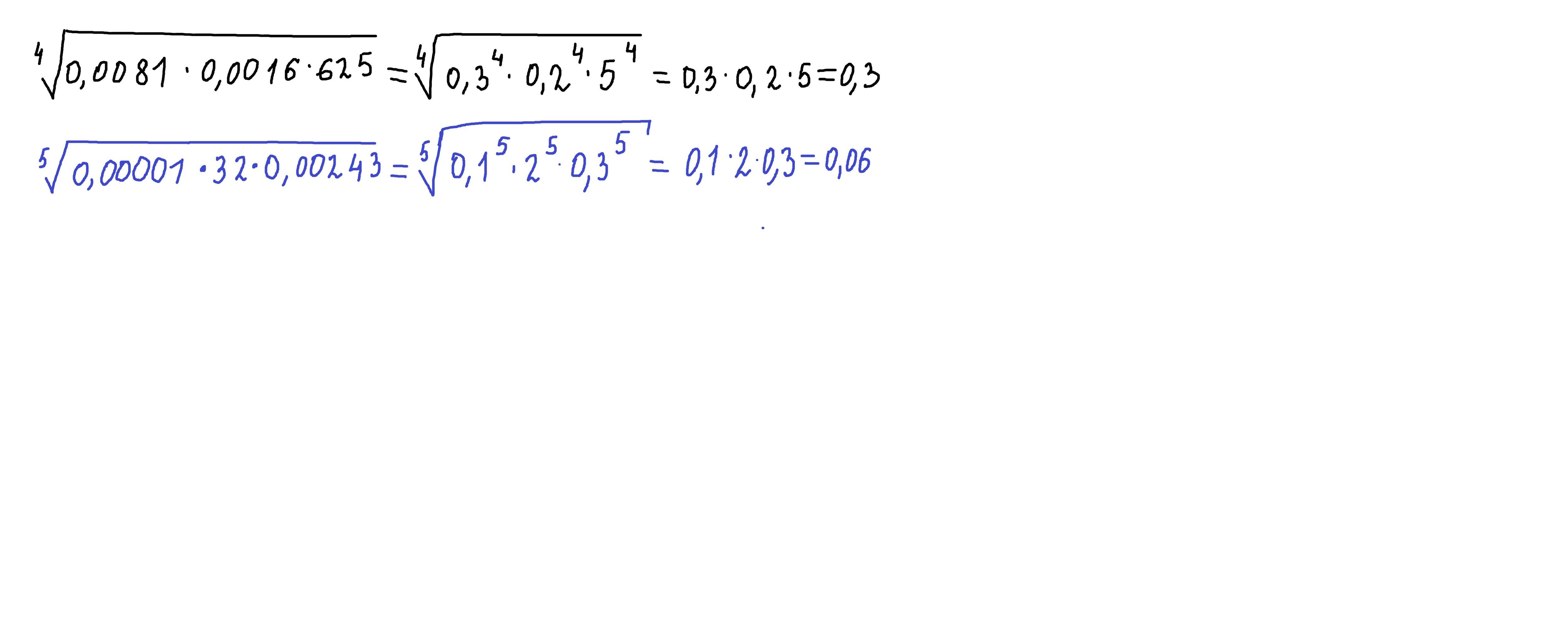
Знайдить значення кореню

Приложения:

Ответы

Ответ дал: cotik29
0

Відповідь:

6) 3/10

8) 3/50

Покрокове пояснення:

Ответ дал: parus77
1

Ответ:

Пошаговое объяснение:

решение внизу

Приложения:
Вас заинтересует