• Предмет: Математика
  • Автор: LOXYAAAA
  • Вопрос задан 3 года назад

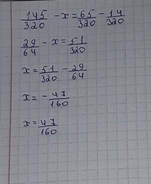
145\320-х=65\320-14\320 решить уровнение.

Ответы

Ответ дал: asatyllaeva1981
1

удачи тебе получи 5 ♥️

Приложения:

LOXYAAAA: спасибо большое)
Ответ дал: NataMon
0

Ответ:

х = 47/160

Пошаговое объяснение:

145/320-х = 65/320-14/320

145/320-х = 51/320

-х =51/320 - 145/320

-х = -94/320 → числитель и знаменатель сокращаем на 2

х = 47/160

Вас заинтересует