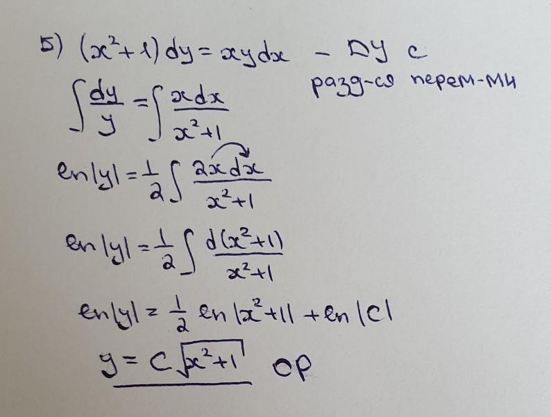
1. Найти решения дифференциального уравнения.
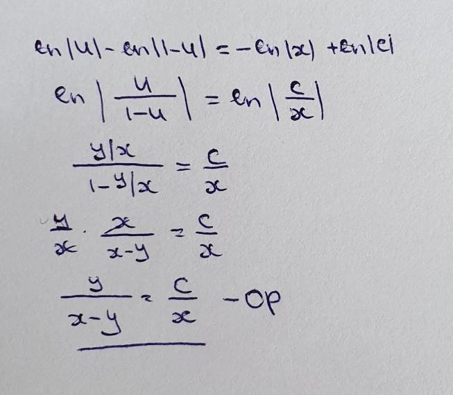
2. Решить однородное дифференциальное уравнение.
3. Найти частные решения дифференциального уравнения.
Приложения:



Ответы
Ответ дал:
1
Ответ:
решение на фотографиях
Приложения:




Вас заинтересует
2 года назад
2 года назад
2 года назад
8 лет назад
8 лет назад
9 лет назад