• Предмет: Математика
  • Автор: frostbs230
  • Вопрос задан 3 года назад

x-3(x+4) при x=8 помогите​

Ответы

Ответ дал: serovaksusa1
0

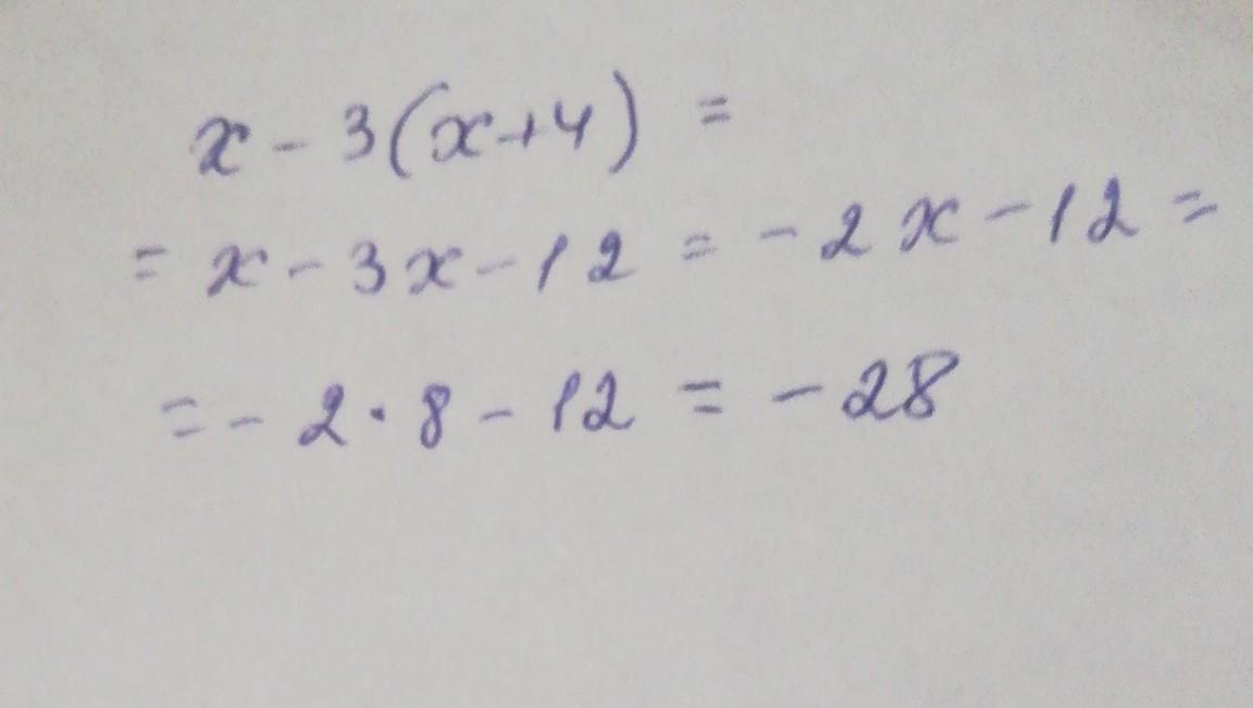
Ответ:

Смотри решение на фото

Приложения:
Ответ дал: EpicSans08
0

Ответ:

Ответ на фото

Пошаговое объяснение:

Ответ на фото

Приложения:
Вас заинтересует