• Предмет: Алгебра
  • Автор: 20972
  • Вопрос задан 3 года назад

ПОМОГИТЕ ПРОШУ ВАС, МНЕ ОЧЕНЬ СРОЧНО!)

Приложения:

Ответы

Ответ дал: serovaksusa1
0

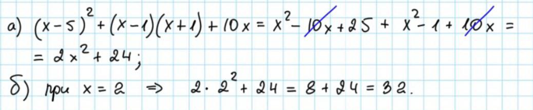
Ответ:

Смотри решение на фото

Приложения:
Ответ дал: AiMus
0

Ответ:

Ответ на картинке

Объяснение:

Приложения:
Вас заинтересует