Ответы
Ответ дал:
1
Ответ:
Ответ на картинке
Объяснение:
Приложения:

Ответ дал:
0
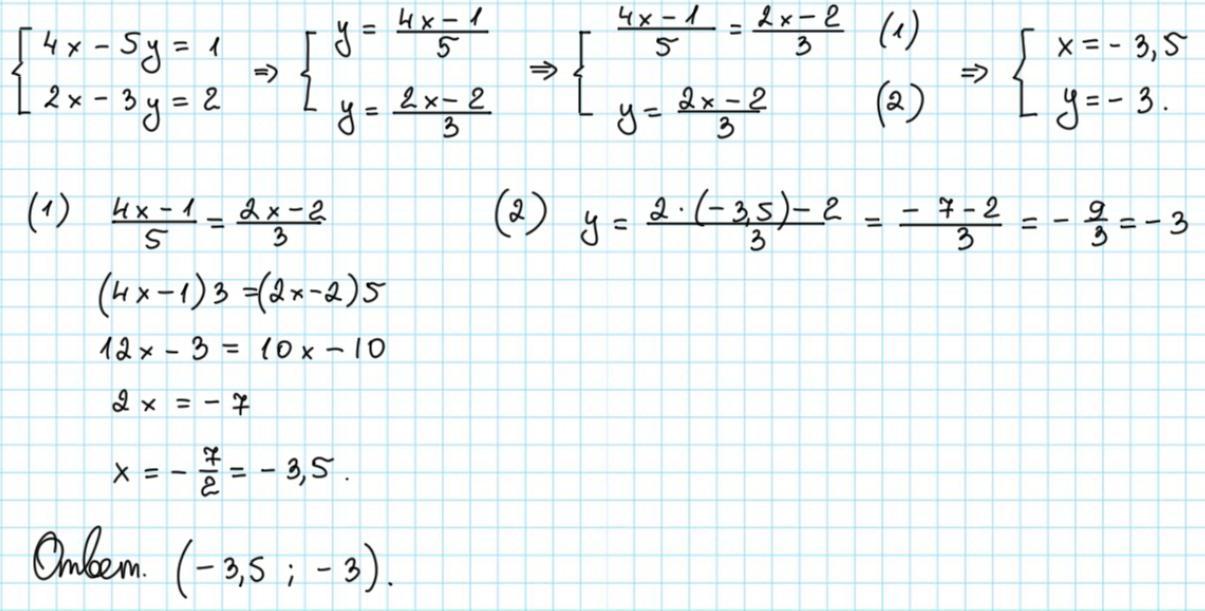
Ответ:
Объяснение:
{4х – 5y = 1
{2x – Зу = 2 // * (-2)
{ 4x-5y=1
(+) {-4x+6y=-4
-----------------.
y=-3 подставляю в (1) уравнение для вычисления x
4x-5*(-3)=1
4x+15=1
4x=-14
x=-7/2
OTBET: решение - пара чисел: (- 7/2; -3)
Вас заинтересует
2 года назад
2 года назад
2 года назад
2 года назад
8 лет назад
9 лет назад