Ответы
Ответ дал:
1
Ответ:
удачи тебе получи 5 ♥️
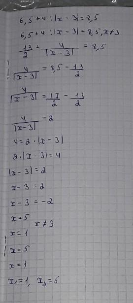
Приложения:

Mirkoys:
(~o ̄3 ̄)~спс
Вас заинтересует
2 года назад
2 года назад
8 лет назад
8 лет назад
9 лет назад