вычеслите массу осадка, выпавшего при сливании 20,8 г 20%го рствоа хлорида бария с избытком раствора серной кислоты даю 35 баллов!!!
Ответы
Ответ дал:
1
Ответ:
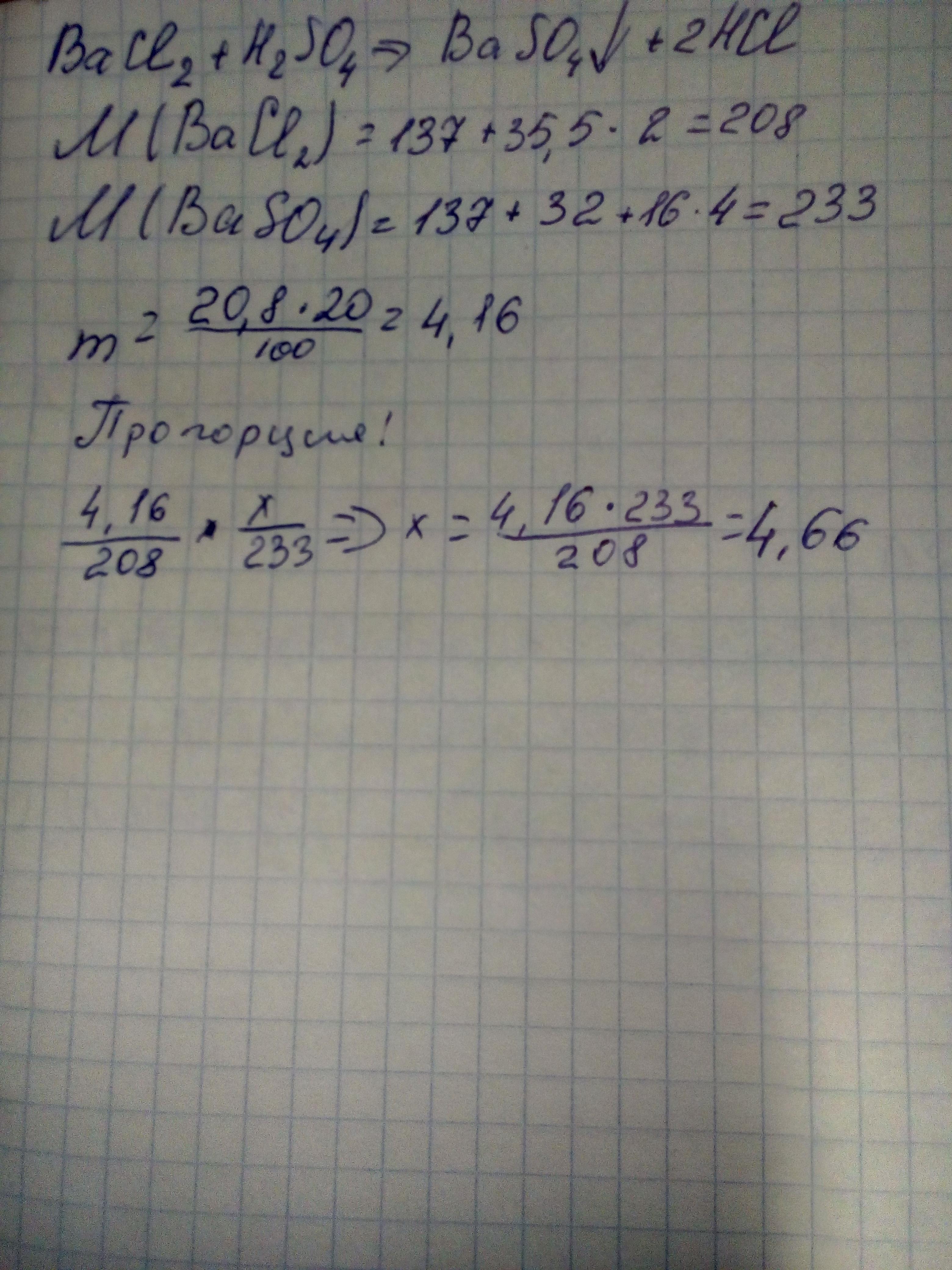
лови фото
Объяснение:
Приложения:

Вас заинтересует
2 года назад
2 года назад
2 года назад
2 года назад
8 лет назад
8 лет назад
9 лет назад
9 лет назад