• Предмет: Алгебра
  • Автор: shedletskyXD
  • Вопрос задан 3 года назад

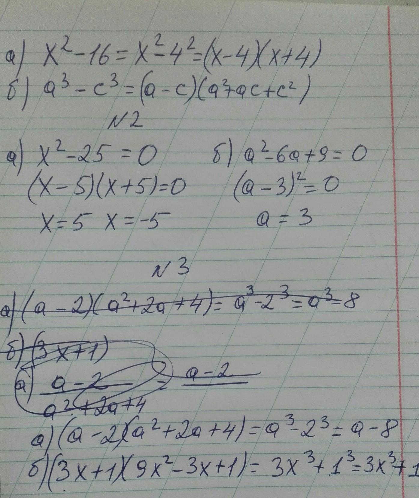
1. Розкладіть на множники многочлен:
а) х^2-16
б) а^3+с^3
( ^ -степінь)
2. Розв'яжіть рівняння:
а) х^2-25=0
б)а^2-6а+9=0
3. Подайте у вигляді многочлена:
а) (а-2)(а^2+2а+4)
б) (3х+1)(9х^2-3х+1)

Ответы

Ответ дал: s1051966
2

Ответ:

в №3 в =3х^3+1 если не видно

Приложения:
Вас заинтересует