• Предмет: Алгебра
  • Автор: karsuo89067
  • Вопрос задан 3 года назад

на фото, пожалуйста, помогите нужно срочно

Приложения:

Ответы

Ответ дал: Anonim328238
0

48^-2*48*18+18^2 / 48^2-18^2 = (48-18)^2 / (48+18)(48-18) = 48-18 / 48+18 ≈0,45

Ответ дал: serovaksusa1
1

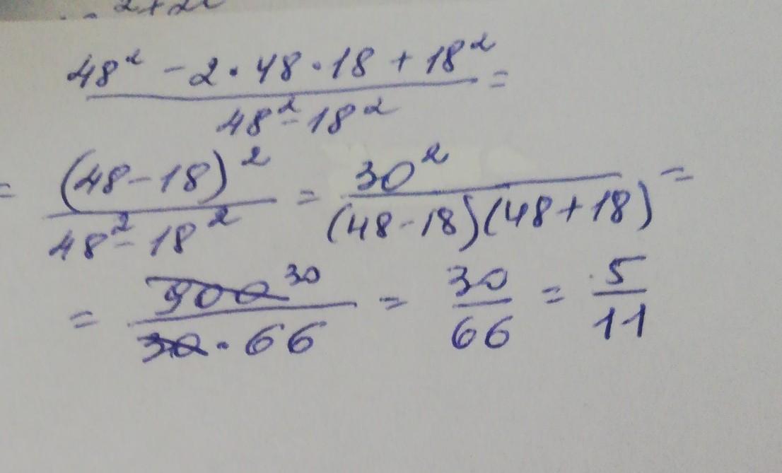
Ответ:

Смотри решение на фото

Приложения:
Вас заинтересует