• Предмет: Математика
  • Автор: 79000000hhg
  • Вопрос задан 3 года назад

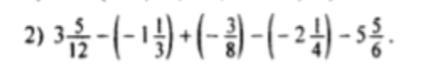
Срочно очень пожалуйста!!!Решите пример!

Приложения:

Ответы

Ответ дал: nursultankomekbaev88
0

Ответ:

вот

Пошаговое объяснение:

у меня полностью не поместился

Приложения:
Ответ дал: AiMus
0

Ответ:

19/24

Пошаговое объяснение:

Приложения:

nursultankomekbaev88: как приложения называется скажи пж
Вас заинтересует