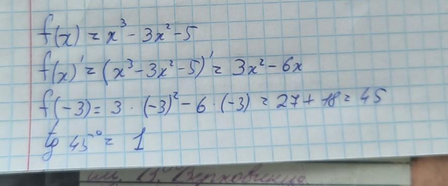
Найти тангенс угла между касательной к графику функции f(x)=x^3-3x^2-5 в точке с абсциссой x^0=-3 и осью ОХ
Ответы
Ответ дал:
0
Ответ:
на фото, що не видно запитуйте!
Приложения:

Вас заинтересует
2 года назад
2 года назад
2 года назад
9 лет назад