Ответы
Ответ дал:
0
Ответ:
надеюсь что правильно )) прости что не все примеры решила
Приложения:

Osopov:
Пофиг что не все решила зато спасибо за помощь ты лучший ответ
Ответ дал:
0
Ответ:
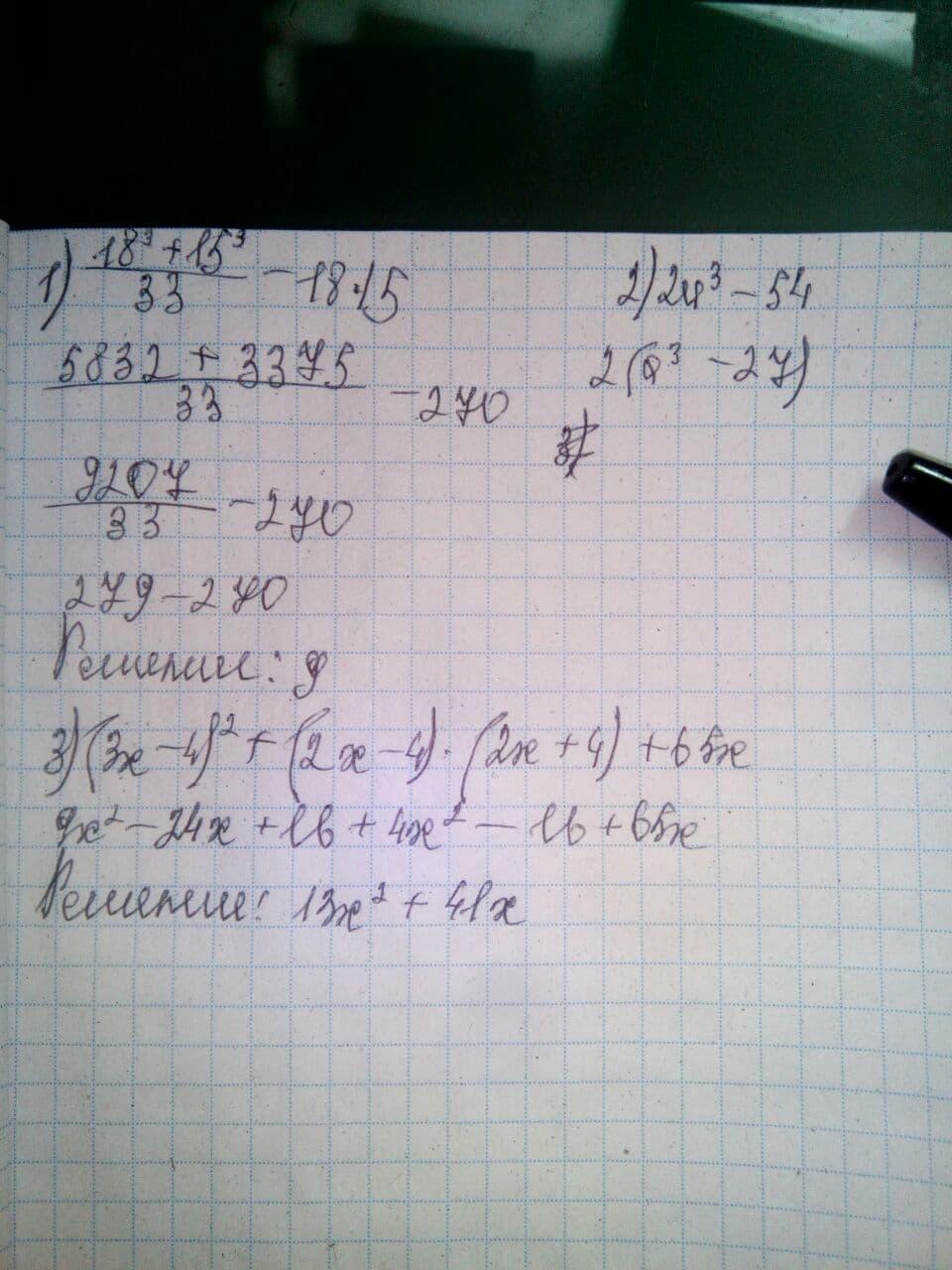
Объяснение:1)=(18+15)(18²-18·15+15²) /33 - 18·15=18²-18·15+15²-18·15=(18-15)²=3²=9.
2)a) =2(a³-27)=2(a-3)(a²+3a+9);
б)= (4a²-12ax+9x²)+(4a-6x)=(2a-3x)²+2(2a-3x)=(2a-3x)(2a-3x+2).
3) a) =9x²-24x+16+4x²-16+65x=13x²+41x .
b) при х=-3 13x²+41x=x(13x+41)= -3( -3·13+41)= -3·2=-6.
4) x²-y²=52, x+y=26, где х и у--- данные числа
{(x-y)(x+y)=52, x+y=26;
{x-y=2, x+y=26;
{2x=28, x+y=26;
{x=14,y=12.
Вас заинтересует
2 года назад
2 года назад
8 лет назад
9 лет назад