• Предмет: Алгебра
  • Автор: romannn62u
  • Вопрос задан 3 года назад

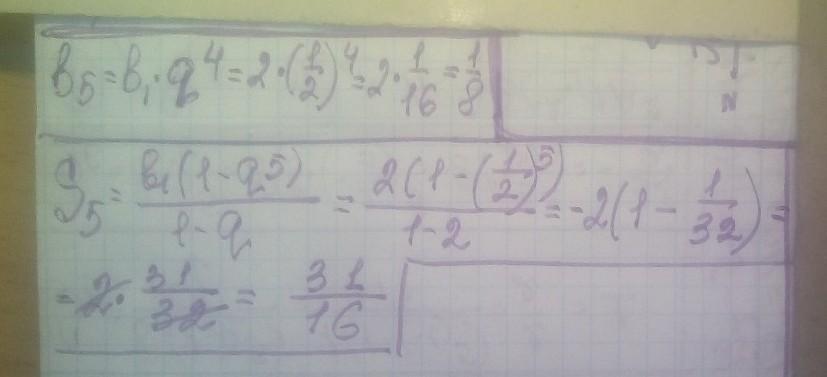
Bn геометрическая прогрессия b1=2 q= ½
Найти b5 s5

Ответы

Ответ дал: manyny06
0

Объяснение:

решение смотри на фотографии

Приложения:
Вас заинтересует