Ответы
Ответ дал:
0
Ответ:
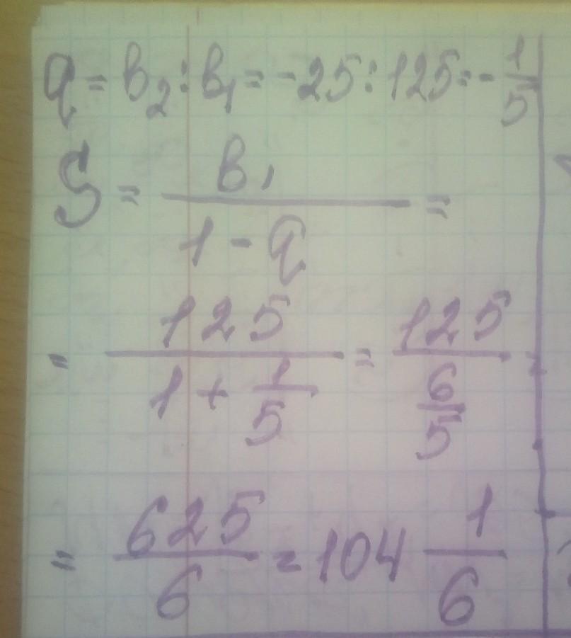
решение смотри на фотографии
Приложения:

nusup08:
можешь помочь?
Вас заинтересует
2 года назад
2 года назад
2 года назад
8 лет назад
9 лет назад