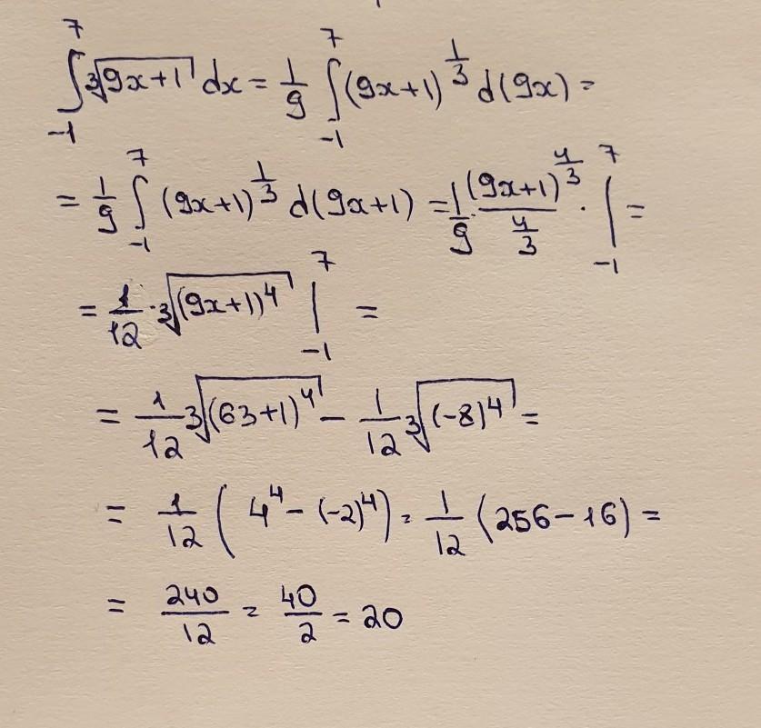
Вычислить определенный интеграл:
Simba2017:
это интеграл от степенной функции
Ответы
Ответ дал:
1
Ответ:
решение на фотографии.
Приложения:

Вас заинтересует
2 года назад
2 года назад
2 года назад
2 года назад
8 лет назад
9 лет назад
9 лет назад