• Предмет: Математика
  • Автор: gggggabelagmailcom
  • Вопрос задан 3 года назад

помогите решить-10×+27=3×-9-10×-3​

Ответы

Ответ дал: anbuCR
1

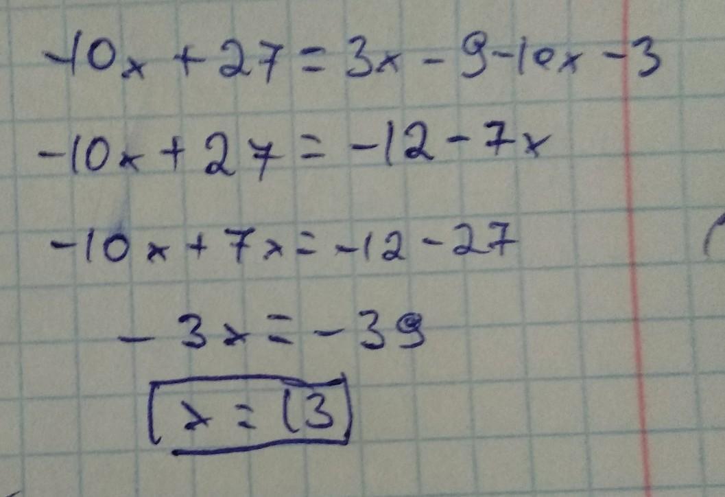
Ответ:

на фото

Пошаговое объяснение:

на фото

подпишись пожалуйста если не сложно цель 10 подписчиков удачи ;)

Приложения:
Ответ дал: ludmilaksenija2005
0

Пошаговое объяснение:

-10х+27=3х-9-10х-3

-10х-3х+10х= - 9-3-27

-3х= - 39

Х= 13

Вас заинтересует