• Предмет: Математика
  • Автор: dmitrisinaanna821
  • Вопрос задан 3 года назад

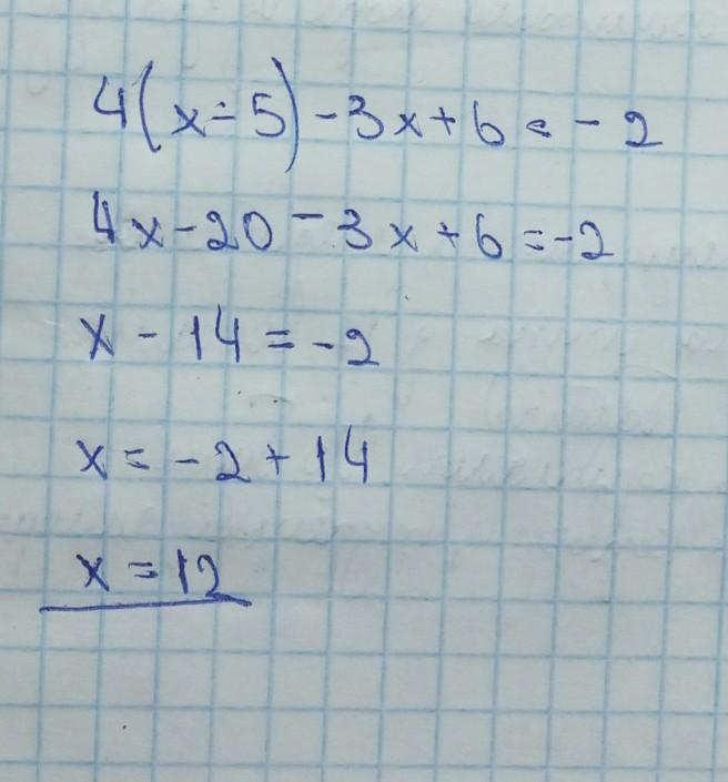
рівняння
будь ласка потрібніше​

Приложения:

miki68: 4х-20-3х+6=-2 , х=12

Ответы

Ответ дал: bodyatop9323
0

Пошаговое объяснение:

...................

Приложения:
Вас заинтересует