• Предмет: Математика
  • Автор: SmartBaba268
  • Вопрос задан 3 года назад

Помогите пожалуйста!!! Нужно сдать за 10 минут!! ​

Приложения:

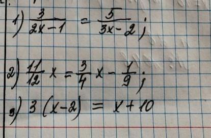
miki68: 9х-6=10х-5, -х=1, х=-1
miki68: 33х=27х-4, 6х=-4, х=-2/3
miki68: 3х-6=х+10, 2х=16, х=8

Ответы

Ответ дал: dastanulyaziz
1

Ответ:

5(2x-1)=3(3x-2)

10x-5=9x-6

10x-9x=-6+5

x=-1

11/12x-3/4x=-1/9

11/12x-3/4x*3=-1/9

11/12x-9/12x=-1/9

2/12x=-1/9

x=-1/9:2/12

x=4/6

3x-6=x+10

3x-x=10+6

2x=16

x=8

Пошаговое объяснение:


miki68: -2/3
Ответ дал: TanomiU
1

Ответ:

Пошаговое объяснение:

1) 3*(3х - 2) = 5 *(2х - 1)

9х - 6 = 10х - 5

х = - 1

2) 11х/12 = 3х/4- 1/9

11х/12 -3х/4= -1/9

11х/12 -9х/12 = - 1/9

2х = -12/9

х = -6/9 = -2/3

3) 3(х - 2) = х + 10

3х - 6 =х + 10

2х = 16

х=16/2= 8

Вас заинтересует