Ответы
Ответ дал:
0
Ответ:
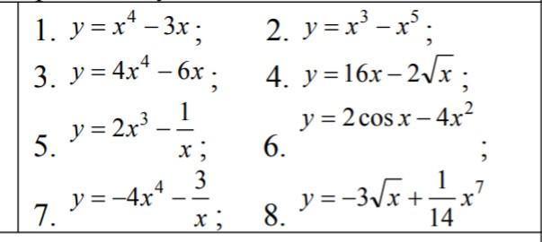
решение смотри на фотографии
Приложения:

mimmii2366ness:
помогите мне плиз с алгеброй
Вас заинтересует
2 года назад
2 года назад
2 года назад
2 года назад
8 лет назад