• Предмет: Алгебра
  • Автор: yevenk
  • Вопрос задан 3 года назад

Очень нужна помощь, пожалуйста. Даю 25 баллов.


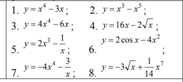
Вычислить производную

Приложения:

Ответы

Ответ дал: elvirator34
0

Ответ:

1.y'=4x^3-3

2.y'=3x^2-5x^4

3.y'=16x^3-6

4.y'=16+(1/\sqrt{x})

5.y'=6x^2-(1/x^2)

6.y'=-2sinx-8x

7.y'=-16x^3+(3x/x^2)

8.y'=-3/(2\sqrt{x}) +7/14*x^6

Объяснение:

Вас заинтересует