• Предмет: Алгебра
  • Автор: yevenk
  • Вопрос задан 3 года назад

Помогите, пожауйста.

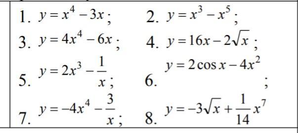
Вычислить производную

Приложения:

Ответы

Ответ дал: table123
0

Ответ:

Объяснение:  (^-знак степени)

1) y'=4x^3 -3,  2)  y'=3x^2-5x^4,  3)  y'=16x^3-6,  4)  y'=16 -2/2Vx  (V-корень) =16-1/Vx,   5)y'=6x^2+1/x^2,  6) y'=-2sinx-8x

Вас заинтересует