• Предмет: Алгебра
  • Автор: shedletskyXD
  • Вопрос задан 3 года назад

якщо хтось знає відповідь буду вдячний :]

Приложения:

zerafr: все сделать?
shedletskyXD: да, если возможно, ну или же хотя бы два

Ответы

Ответ дал: zerafr
0

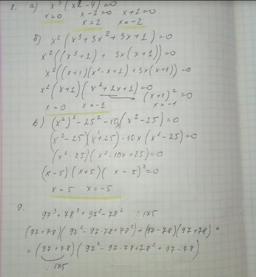
Ответ:

Объяснение:

на фото

Приложения:
Вас заинтересует