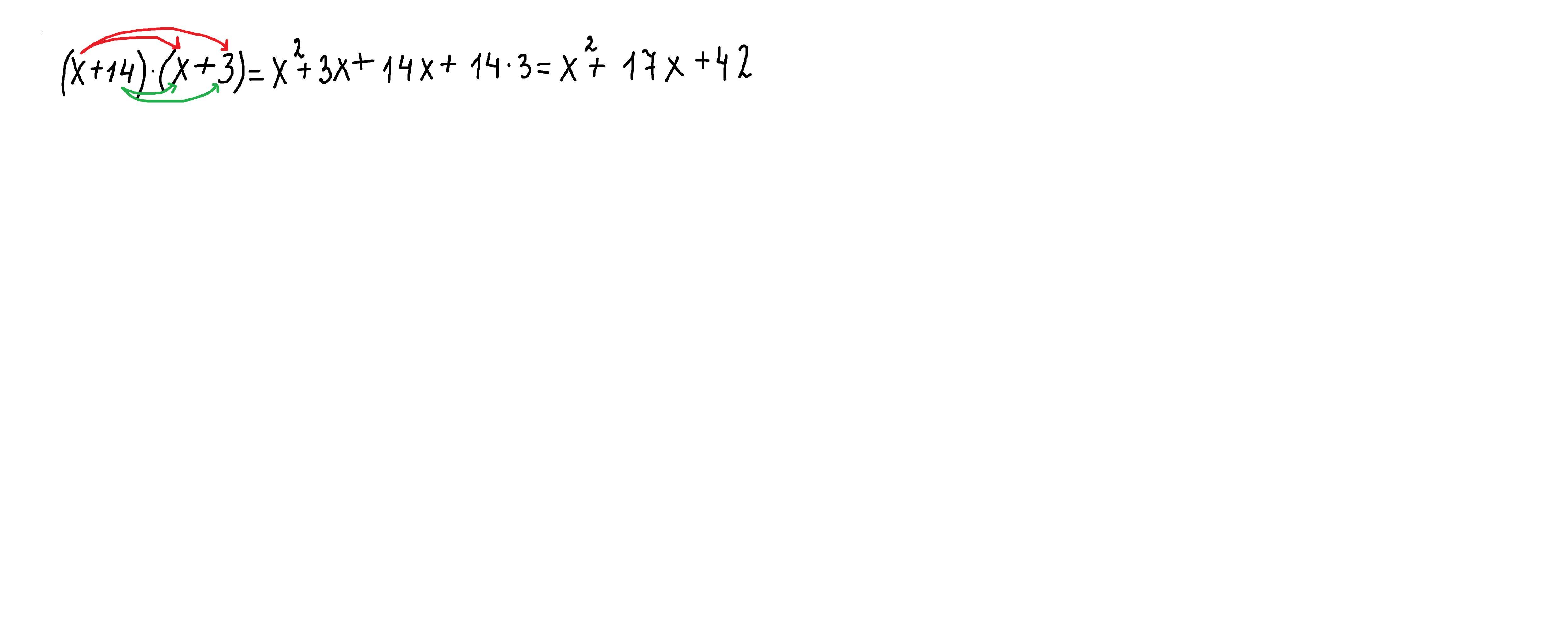
Раскрой скобки: (x+14)⋅(x+3).
х^2 _ _ x _ _
(Впиши недостающие числа и знаки; знаки записывай в отдельное окошко.)
Ответы
Ответ дал:
1
x^2+3x+14x+42
Ответ:
x^2+17x+42
Ответ дал:
1
Ответ:
Объяснение:
РЕШЕНИЕ ВНИЗУ
Приложения:

Вас заинтересует
2 года назад
2 года назад
2 года назад
8 лет назад
8 лет назад
9 лет назад
9 лет назад