• Предмет: Математика
  • Автор: zhumalieva01
  • Вопрос задан 3 года назад

Помогите решить (напишите решение подробно), пожалуйста

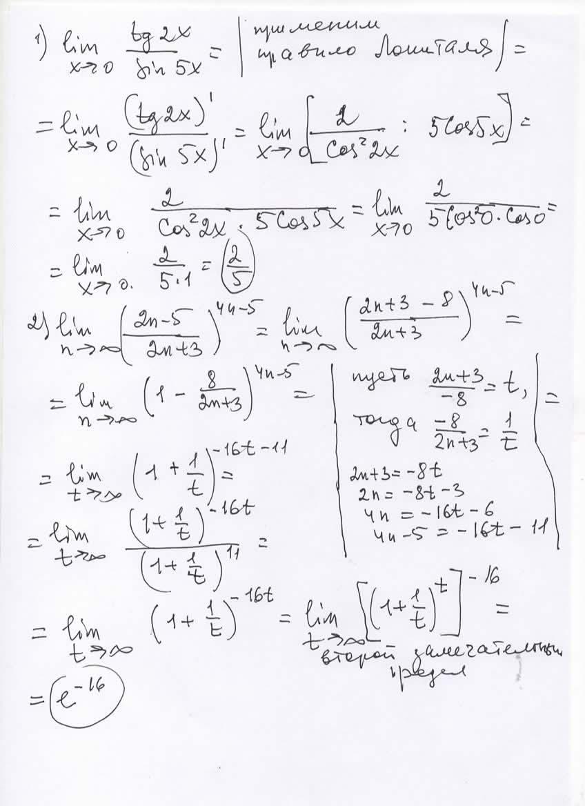
1. \lim_{x \to 0}\frac{tg 2x}{sin5x}

2. \lim_{n \to \infty}( \frac{2n-5}{2n+3} )^{4n-5}

Ответы

Ответ дал: zveryakovanata
1

Ответ:

Пошаговое объяснение:

Приложения:
Вас заинтересует