Ответы
Ответ дал:
0
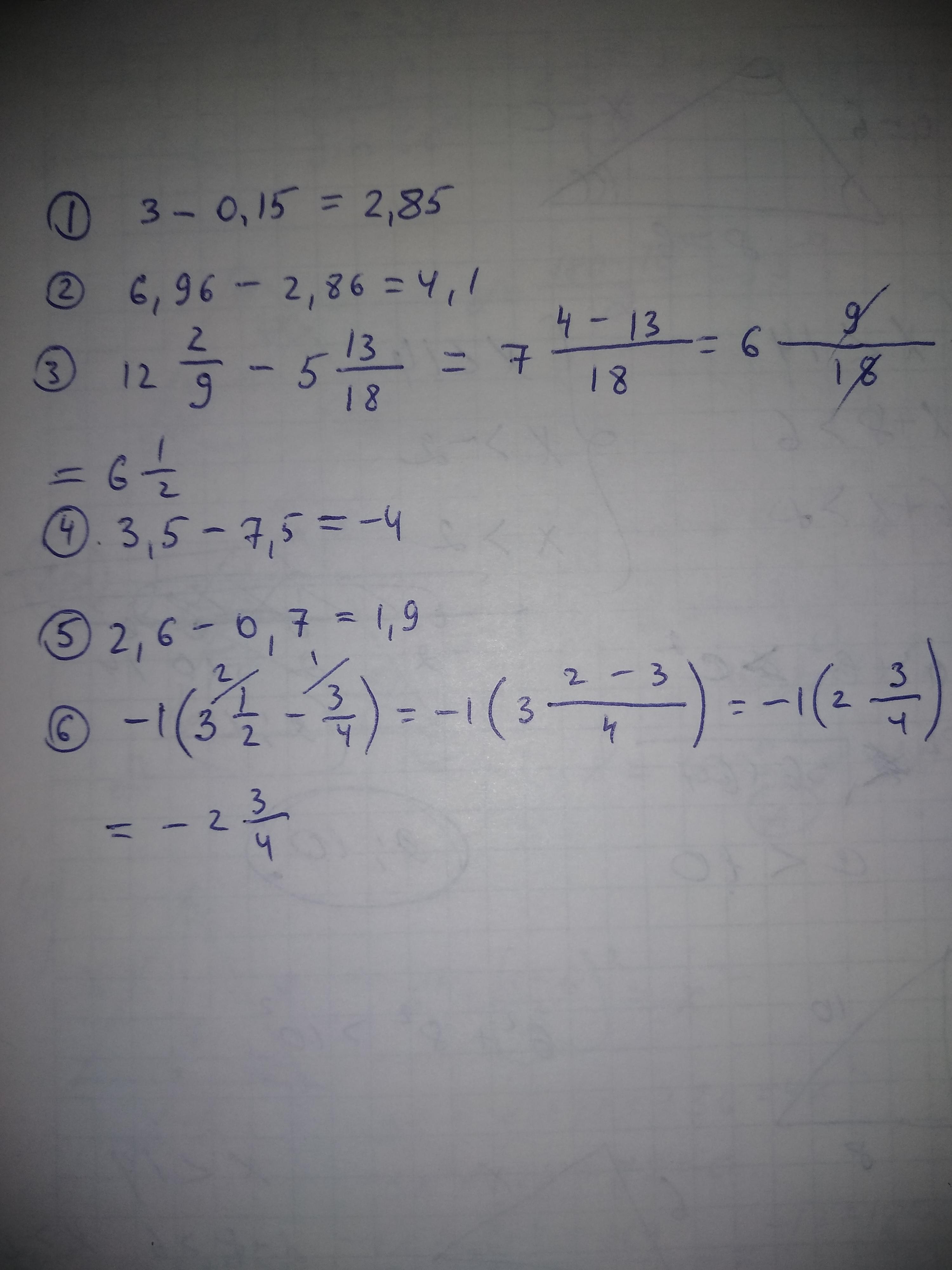
посмотрите фото!///////
Приложения:

Ответ дал:
1
Ответ:
Пошаговое объяснение:
Минус перед скобкой меняет все знаки на пртивоположные. Напишем условия в удобном виде
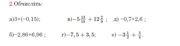
Приложения:

Вас заинтересует
2 года назад
2 года назад
2 года назад
2 года назад
9 лет назад