Ответы
Ответ дал:
1
Ответ:
решено с любовью)
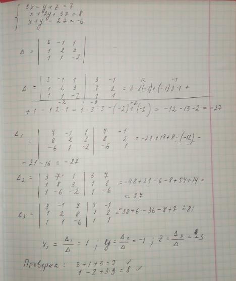
Пошаговое объяснение:
Приложения:

krosjisa:
спасибо ♥️
Вас заинтересует
2 года назад
2 года назад
2 года назад
2 года назад
8 лет назад
8 лет назад
9 лет назад
9 лет назад