• Предмет: Алгебра
  • Автор: kmaks99
  • Вопрос задан 3 года назад

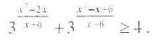
Найдите сумму целых отрицательных решений неравенства:

Приложения:

kmaks99: в знаменателе степени x+6, а в числителе x^2-2x и x^2-x+6

Ответы

Ответ дал: hote
0

\displaystyle 3^{\frac{x^2-2x}{x+6}}+3^{\frac{x^2-x+6}{x+6} }\geq 4

преобразуем показатель первого слагаемого

\displaystyle \frac{x^2-2x}{x+6}=\frac{x^2-x-x+6-6}{x+6}=\frac{(x^2-x+6)-(x+6)}{x+6}=\frac{x^2-x+6}{x+6}-1

тогда наше неравенство примет вид

\displaystyle 3^{\frac{x^2-x+6}{x+6}-1 }+3^{\frac{x^2-x+6}{x+6} }\geq 4\\\\\frac{3^{\frac{x^2-x+6}{x+6}}}{3}+3^{\frac{x^2-x+6}{x+6}}\geq 4\\\\3^{\frac{x^2-x+6}{x+6}}=t\\\\\frac{t}{3}+t\geq 4\\\\t+3t\geq 12\\\\4t\geq 12\\\\t\geq 3

обратная замена

\displaystyle 3^{\frac{x^2-x+6}{x+6}}\geq 3^1\\\\\frac{x^2-x+6}{x+6}\geq 1\\\\\frac{x^2-x+6-x-6}{x+6}\geq 0\\\\\frac{x^2-2x}{x+6}\geq 0\\\\\frac{x(x-2)}{x+6}\geq 0

решаем методом интервалов

____ -6 ______0_______2______

  -                 +            -                 +

значит х∈(-6;0]∪[2;+∞)

сумма целых отрицательных решений  -5-4-3-2-1+0=-15

Вас заинтересует