• Предмет: Алгебра
  • Автор: POLINASHAH
  • Вопрос задан 3 года назад

Помогите, пожалуйста, решить 8 задание.

Приложения:

Ответы

Ответ дал: Dimasik106
0

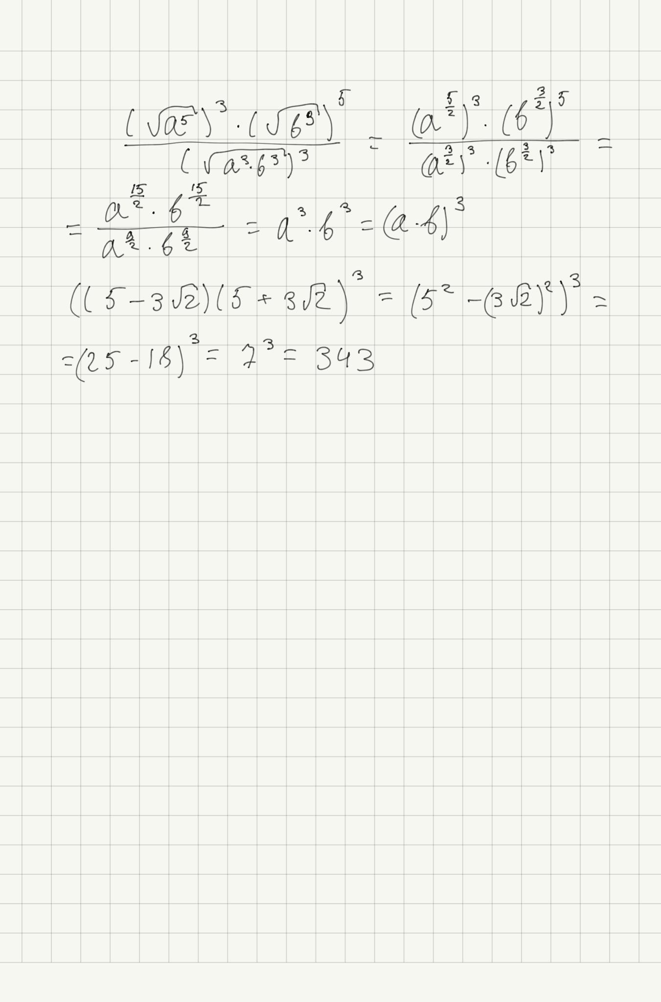
Ответ: 343

Написал решение ниже.

Приложения:

POLINASHAH: Спасибо, не открылось видимо.
Вас заинтересует