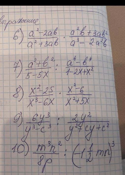
Помогите пожалуйста Упростить выражения. Нужна ваша помощь 11 баллов.
Приложения:

supernat83:
Photomath в помощь
Ответы
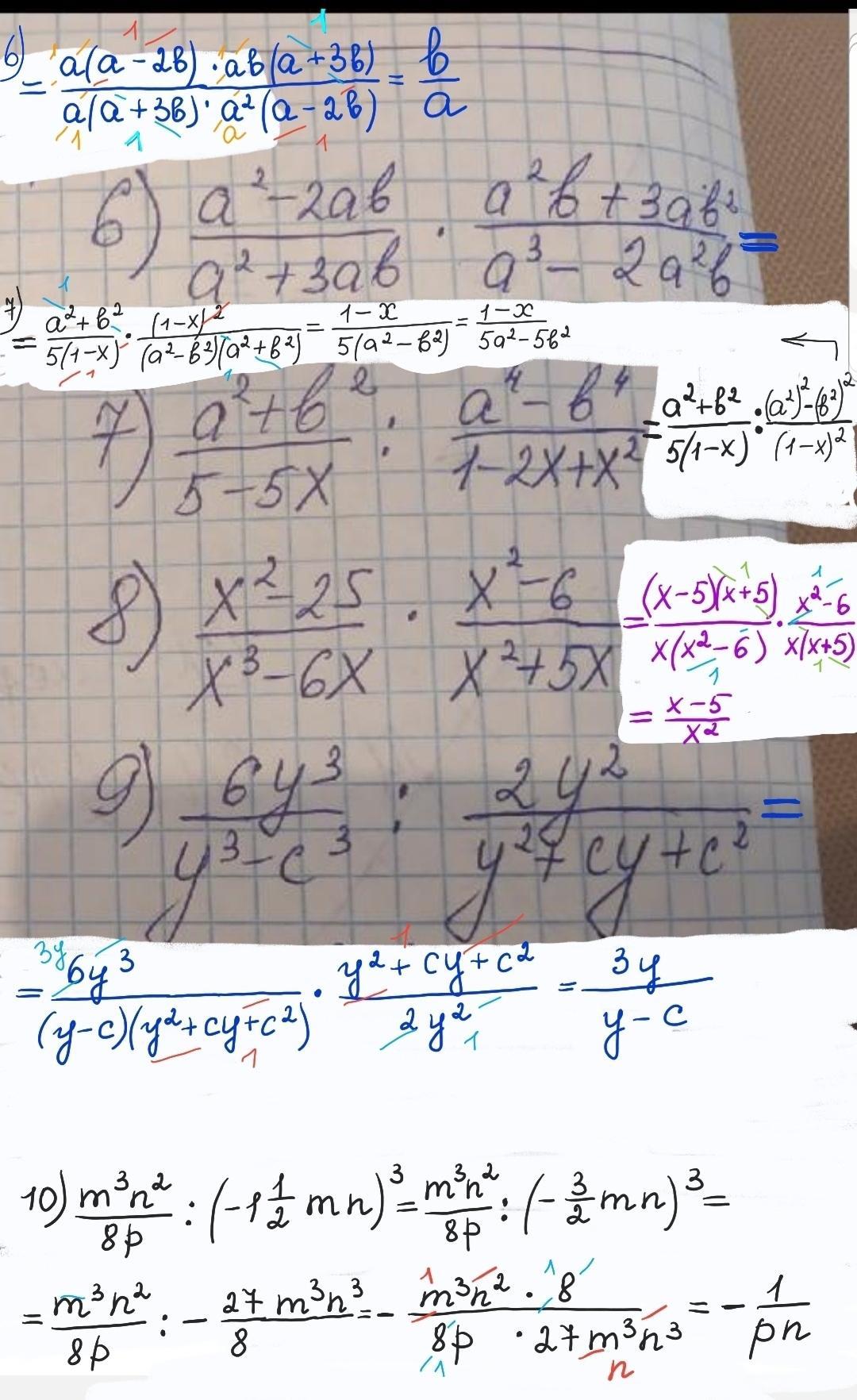
Ответ дал:
1
Ответ на прикреплённом файле
Приложения:

Вас заинтересует
2 года назад
2 года назад
2 года назад
8 лет назад
8 лет назад
9 лет назад
9 лет назад