Помогите пожалуйста
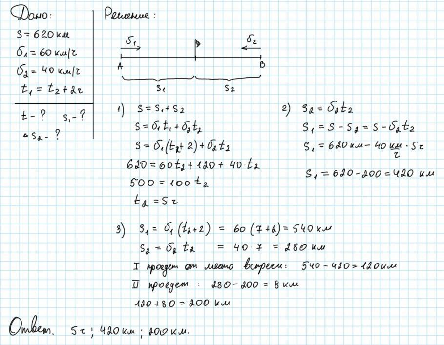
Из города A в город B , расстояние между которыми 620 км выехала легковая машина со
скоростью 60 км/ч. Через 2 два часа из города B в город A выехал грузовик со скоростью 40
км/ч. А) Через какое время после выезда грузовика автомобили встретились? Б) На каком
расстоянии от города A произошла встреча? В) Какое расстояние будет между автомобилями
через 7 часов после выезда грузовика?
Ответы
Ответ дал:
0
Ответ:
Ответ на картинке.
Пошаговое объяснение:
Приложения:

Вас заинтересует
2 года назад
2 года назад
2 года назад
8 лет назад
8 лет назад
9 лет назад