Ответы
                                            Ответ дал: 
                                                                                    
                                        
                                            
                                                
                                                
                                                
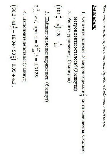
                                                    1
                                                
                                            
                                        
                                    Ответ:
1) 6
2) х=1/14 × 29
х=101 целых 4/7 - 2 целых 1/14
находим общий знаменатель, а именно 14
и получается
х=99 целых 1/2
3) Ответ:0,дальше лень
                                            Ответ дал: 
                                                                                    
                                        
                                            
                                                
                                                
                                                
                                                    0
                                                
                                            
                                        
                                    Ответ:
1) 18*2/3=12метров
(101 4/7-х)/29=1/4
2) (101,57-х)/29
(101,57-х)=29*0,25
101,57-х=7,25
х=101,57-7,25
х=94,32
3) 2,045*2,57/1,3125=4,0043
4) (50,2/41,83-18,04/50,11)*0,05+4,2=(1,2-0,36)*0,05+4,2=0,84*0,05+4,2=4,242
Пошаговое объяснение:
Вас заинтересует
                
                        2 года назад
                    
                
                        2 года назад
                    
                
                        8 лет назад
                    
                
                        9 лет назад
                    
                