• Предмет: Математика
  • Автор: Нурик203
  • Вопрос задан 3 года назад

Решите дифференциальные уравнения

Приложения:

Ответы

Ответ дал: Miroslava227
1

Ответ:

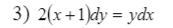
1)2(x + 1)dy = ydx \\ \int\limits \frac{dy}{y}  =  \frac{1}{2} \int\limits \frac{dx}{x + 1}  \\ ln |y|  =  \frac{1}{2} \int\limits \frac{d( x + 1)}{x + 1}  \\ ln |y| =  \frac{1}{2}  ln |x + 1|  + ln |C|  \\ y + 1 = C \sqrt{x + 1}

общее решение

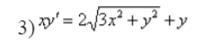
2)xy'= 2 \sqrt{3 {x}^{2}  +  {y}^{2} }  + y \:  \:  \:  |  \div  {x} \\ y' = 2 \sqrt{ \frac{3 {x}^{2}  +  {y}^{2} }{{x}^{2} } }  +  \frac{y}{x}  \\ y' = 2 \sqrt{3 +  \frac{ {y}^{2} }{ {x}^{2} } }  +  \frac{y}{x}  \\  \\  \frac{y}{x}  = u \\ y' = u'x + u \\  \\ u'x + u = 2 \sqrt{3 +  {u}^{2} }  + u \\  \frac{du}{dx} x = 2 \sqrt{3 +  {u}^{2} }  \\ \int\limits \frac{du}{ \sqrt{3 +  {u}^{2} } }  =2 \int\limits \frac{dx}{x}  \\ \int\limits \frac{du}{ \sqrt{ {( \sqrt{3}) }^{2}  +  {u}^{2} } }  = 2ln |x|  + ln |c|  \\ ln |u +  \sqrt{3 +  {u}^{2} } |  = ln |C {x}^{2} |  \\ u +  \sqrt{3 +  {u}^{2} }  = C {x}^{2}  \\  \frac{y}{x}  +  \sqrt{3 +  \frac{ {y}^{2} }{ {x}^{2} } }  = Cx {}^{2}

общее решение

3)y'' - 10y' + 25y = 0 \\  \\ y =  {e}^{kx}  \\  \\  {e}^{kx}( k {}^{2} - 10 k + 25) = 0 \\  {(k - 5)}^{2}   = 0\\ k_1 = k_2 = 5 \\ y = C_1 {e}^{5x}  + C_2 {e}^{5x} x

общее решение

y(0) = 1,y'(0) = 8

y' = 5C_1 {e}^{5x}  + 5C_2 {e}^{5x} x + C_2 {e}^{5x}

\left \{ {{C_1 = 1} \atop {5C_1 + C_ 2= 8} } \right. \\  \\ \left \{ {{C_1 = 1} \atop {C_2 = 8 - 5C_1 = 3} } \right.

y =  {e}^{5x}  + 3 {e}^{5x} x =  {e}^{5x} (3x + 1)

частное решение

Вас заинтересует