25 БАЛЛОВ ОЧЕНЬ СРОЧНО
ЧТОБЫ УВИДЕТЬ ВСЕ ЗАДАНИЯ ОТКРОЙТЕ КАНТИНКУ
Приложения:

SasdeHQ:
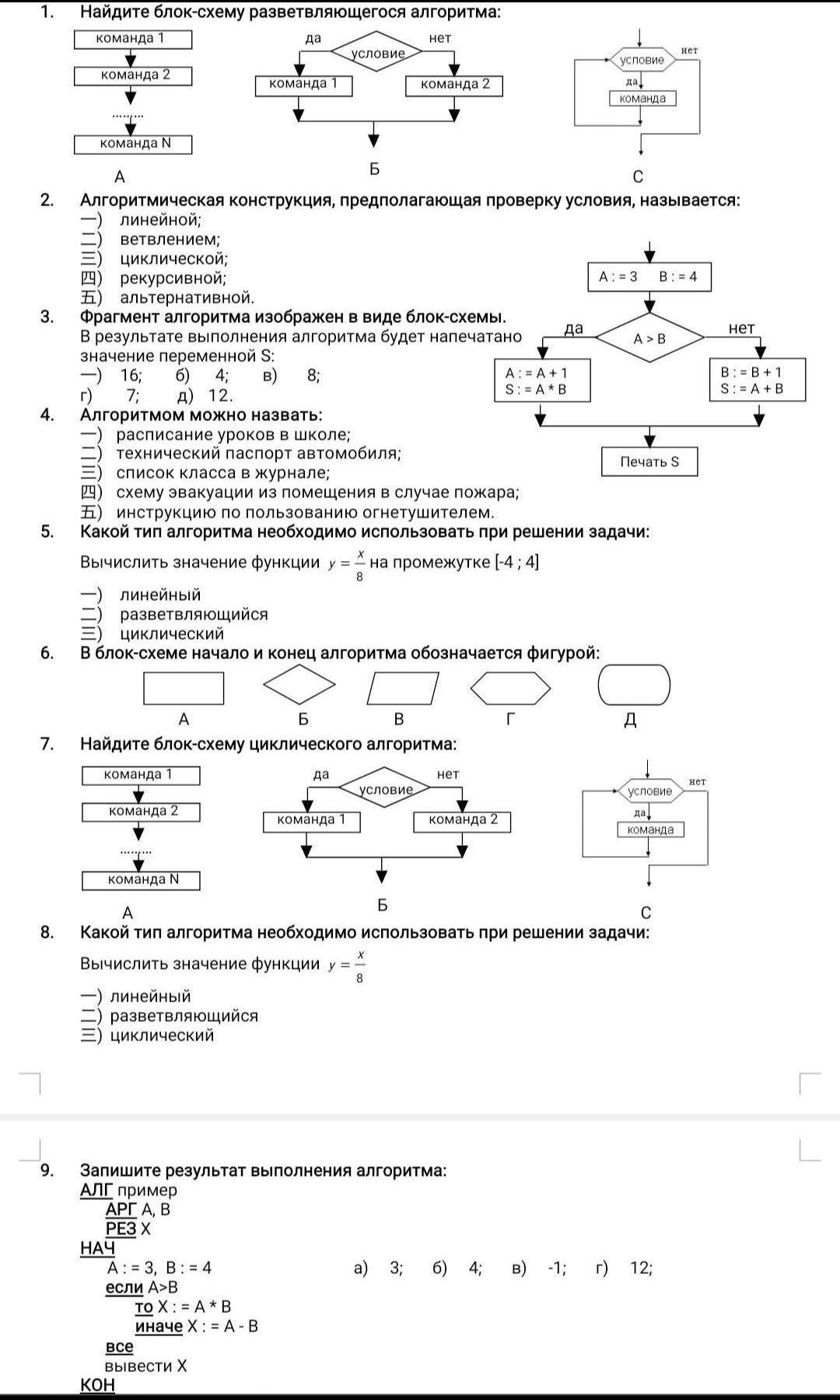
1)2
Ответы
Ответ дал:
1
Ответ:
SasdeHQ avatar
1)2
SasdeHQ avatar
2)3
SasdeHQ avatar
3)8
SasdeHQ avatar
4) инструкцмия, схема эвакуации, расписание уроков
SasdeHQ avatar
5)3 (циклический)
SasdeHQ avatar
6) Д
SasdeHQ avatar
7) С
SasdeHQ avatar
8) 2
SasdeHQ avatar
9) В (-1)
SasdeHQ avatar
Удачи парень
Объяснение:
Вас заинтересует
2 года назад
2 года назад
8 лет назад
8 лет назад