• Предмет: Алгебра
  • Автор: Аноним
  • Вопрос задан 3 года назад

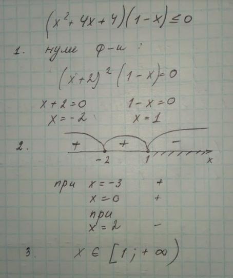
(х²+4х+4)(1-х)≤0 решите пожалуйста​

Ответы

Ответ дал: zerafr
0

Ответ:

объяснение  на фото

Объяснение:

Приложения:
Ответ дал: rakhym05
1

Ответ:

х-1<0                       x^2+4x+4<0

x>1                            D=16-4*4*1=0

                                 x=-4\2=-2

                                x<-2       x>2

Объяснение:

x(2;+∞)

Вас заинтересует