• Предмет: Математика
  • Автор: zhekaluf02
  • Вопрос задан 3 года назад

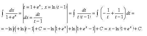
Решит интеграл: dx/e^x+1​


Аноним: e^x +x
Аноним: + C

Ответы

Ответ дал: Bu1gakov
0

Ответ:

Пошаговое объяснение:

Приложения:
Вас заинтересует