• Предмет: Алгебра
  • Автор: Doshik0615
  • Вопрос задан 3 года назад

Помогите пожалуйста срочно нужно возвести в кводрат

Приложения:

Ответы

Ответ дал: manyny06
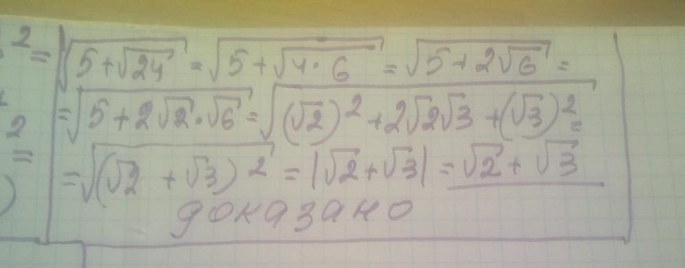
1

Ответ:

решение смотри на фотографии

Приложения:
Ответ дал: NNNLLL54
1

Ответ:  индийский учёный прав .

5+\sqrt{24}=5+\sqrt{4\cdot 6}=3+2+2\sqrt{6}=3+2+2\sqrt{3\cdot 2}=\\\\=3+2+2\cdot \sqrt3\cdot \sqrt2=\underbrace {(\sqrt3)^2+2\cdot \sqrt3\cdot \sqrt2+(\sqrt2)^2}_{a^2+2ab+b^2}=\underbrace {(\sqrt3+\sqrt2)^2}_{(a+b)^2}\\\\\\\\\sqrt{5+\sqrt{24}}=\sqrt{(\sqrt3+\sqrt2)^2}=|\sqrt3+\sqrt2|=\sqrt3+\sqrt2


Аноним: помогите
Ternov21: https://znanija.com/task/43587668?utm_source=android&utm_medium=share&utm_campaign=question
Вас заинтересует