• Предмет: Алгебра
  • Автор: Аноним
  • Вопрос задан 3 года назад

Пожалуйста помогите ❤️ заранее спасибо!! ​

Приложения:

Ответы

Ответ дал: МирзаевФайк
3

Ответ:

 =  =  =  =  =  =  =  =  =  =  =  =

Приложения:
Ответ дал: Universalka
1

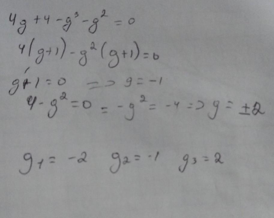
4g+4-g^{3}-g^{2}=0\\\\(4g+4)-(g^{3}+g^{2})=0\\\\4(g+1)-g^{2}(g+1)=0\\\\(g+1)(4-g^{2})=0\\\\(g+1)(2-g)(2+g)=0\\\\2+g=0 \ \Rightarrow \ g_{1}=-2\\\\g+1=0 \  \Rightarrow \ g_{2}=-1\\\\2-g=0 \  \Rightarrow \ g_{3} =2

Вас заинтересует