• Предмет: Математика
  • Автор: nastiya6714
  • Вопрос задан 3 года назад

Даю 25 баллов. Помогите с определенным интегралом

Приложения:

Ответы

Ответ дал: pushpull
1

Ответ:

Пошаговое объяснение:

здесь надо помнить, что при замене переменных меняются и пределы интегрирования

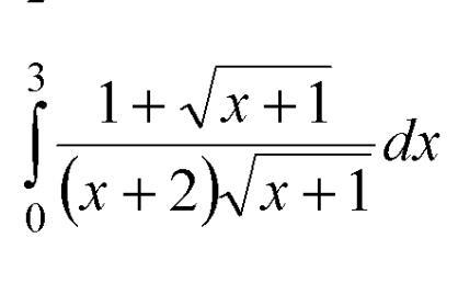
\displaystyle \int\limits^3_0 {\frac{1+\sqrt{x+1} }{(x+2)\sqrt{x+1} } } \, dx =\left[\begin{array}{ccc}u=\sqrt{x+1}\hfill \\du=\displaystyle \frac{1}{2\sqrt{x+1}dx } \\u_1=1\quad u_2=2\end{array}\right] =2\int\limits^2_1{\frac{u+1}{u^2+1} } \, du =

\displaystyle = 2\int\limits^2_1 {\frac{u}{u^2+1} } \, du+2\int\limits^2_1 {\frac{1}{u^2+1} } \, du = 2\left[\begin{array}{ccc}s=u^2+1\\ds=2udu\\s_1=2\quad s_2=5\end{array}\right] +2arctgu \bigg |_1^2=

\displaystyle = \int\limits^5_2 {\frac{1}{s} } \, ds +2arctg(2)-\frac{\pi }{2} =ln(s) \bigg |_2^5+2arctg(2)-\frac{\pi }{2}=ln(5/2) +2arctg(2)-\frac{\pi }{2}

Вас заинтересует