Ответы
Ответ дал:
0
Ответ:
20 100
Пошаговое объяснение:
Монетку имеют номинал от 1 до 200, то есть номиналы монет образую арифметическую прогрессию с шагом 1, тогда зададим арифметическую прогрессию, по условию:
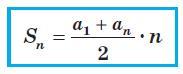
Найдем по формуле сумму n - элемента арифметической прогрессии:
Найдем сумму арифметической прогрессии, которая задана для данной задачи от 1 до 200:
Приложения:

Вас заинтересует
2 года назад
2 года назад
2 года назад
2 года назад
8 лет назад
8 лет назад