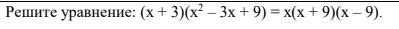
Ответы
Ответ дал:
0
Объяснение:
...........................
Приложения:

Ответ дал:
0
Заметим, что - сумма кубов, значит
,
а - это разность квадратов,
, имеем:
Ответ:
Вас заинтересует
2 года назад
2 года назад
2 года назад
8 лет назад
8 лет назад