• Предмет: Алгебра
  • Автор: XxXhakcerXxX
  • Вопрос задан 3 года назад

Пожалуйста решите вот это(Алгебра 7 класс срочно

Приложения:

Ответы

Ответ дал: Ilkhom777
0

Ответ:

4 ответа

Объяснение:

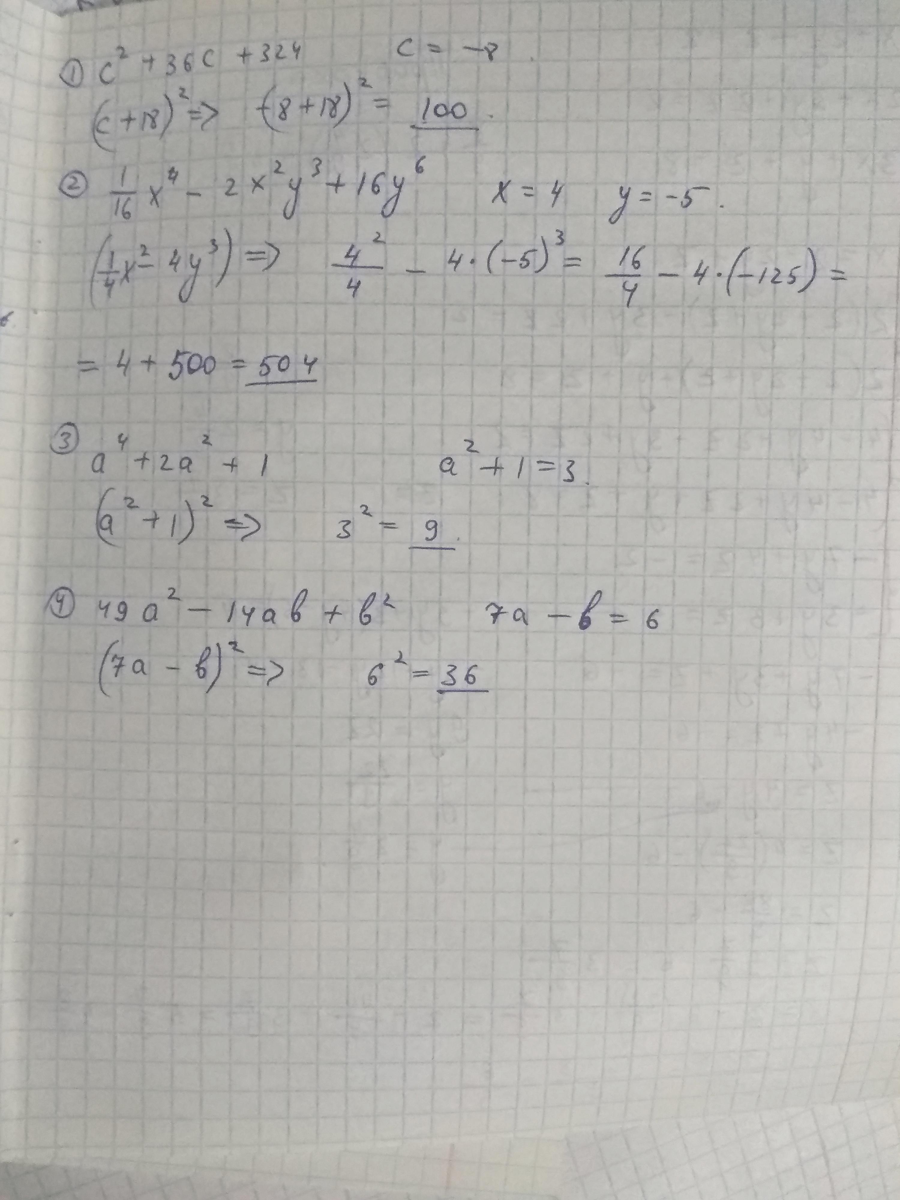
Ф.С.У. формулы сокращенных умножений. Собираем обратно в скобки и получаем

Приложения:

MrFlyguy: Вы во втором примере забыли в квадрат возвести
Ilkhom777: Даа забыл
Ilkhom777: Ответ будет 254016? Не так ли
Ilkhom777: Квадрат числа 504
MrFlyguy: да, всё верно
Ilkhom777: Окей
Ilkhom777: Спасибо. Возьму на заметку
MrFlyguy: Не за что)
Ответ дал: MrFlyguy
0

Ответ:

решение на фото

Объяснение:

Приложения:
Вас заинтересует