• Предмет: Алгебра
  • Автор: ltlykovaaa
  • Вопрос задан 3 года назад

Срочно нужна помощь по алгебре

Приложения:

Ответы

Ответ дал: olyakungurtzeva
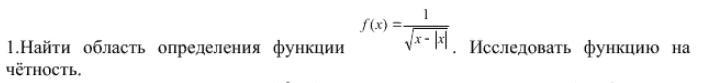
1

Ответ:

f(x) =  \frac{1}{ \sqrt{  x  - |x| } }  \\f( - x) =  \frac{1}{ \sqrt{ - x -  | - x| } } \\ f( - x) =  \frac{1}{ \sqrt{ - x -  |x| } }

так как f(-x)=f(x),ни f(-x)=-f=(x) не выполнены,то функция

ни четная,ни нечётная.

Вас заинтересует