Как решить задачу:В прямоугольнике сделали прямоугольную дыру. Ширина получившейся рамки — 1 см. Периметр дыры равен 35 см. Чему равен периметр прямоугольника?
Ответы
Ответ дал:
2
Ответ:
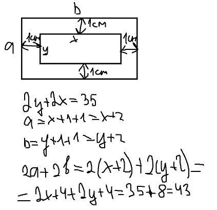
43 см
Пошаговое объяснение:
Каждую сторону уменшили на 2 см (отступ в центр от каждой сторони по 1 см), то есть уменьшили периметр на 2*4= 8см, отсюда
35+8=43 см периметр первоночального прямоугольника.
Ответ дал:
1
Ответ:
43 см
Пошаговое объяснение:
Решение на фото
Приложения:

Вас заинтересует
2 года назад
2 года назад
2 года назад
2 года назад
8 лет назад
8 лет назад