До завтра решите с подробным решением на листочке.
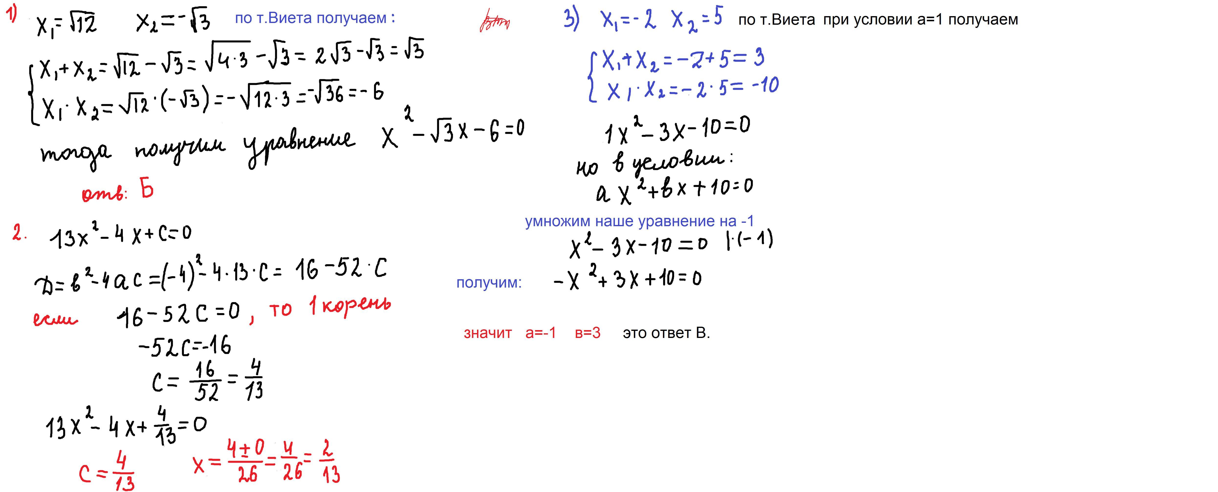
1)Составьте квадратное уравнение с корнями: √12 и -√3
Варианты ответов:
a)x^2+√3x+6=0 б)x^2-√3x-6=0
в)x^2+√3x-6=0 г) составить нельзя
2) При каком значении "c" уравнение
13x^2-4x+c=0 имеет корень
Варианты ответов: a) 1 1/3 б) -1 1/6 в) 1 2/3
Г) -1 1/3
3) При каком значении a и b корнями уравнения ax^2+bx+10=0 являются
числа -2 и 5 Варианты ответов: a) a=1; б=3 б) a=-1; б=-3 в) a=1; б=-3 г) a=-1; б=3
Hizeraq:
Впринцепе, мне 2 задание не очень важно, главное первое и третье
Г) -1 1/3
Ответы
Ответ дал:
1
Відповідь:
Пояснення:
ax^2+bx+c
1) теорема Виета
√12 +( -√3)=-b/a
√12 ×( -√3)=c/a
a=1; c=-√36=-6; b=√3(2-1)=√3
x^2+√3x-6
2) один корень уравнение имеет, когда дискриминант =0
b^2-4ac=16-52c=0 → c=16/52=4/13.
3) теорема Виета
(-2)×5=10/а → а= -1
(-2)+5=-b/а → b=3
-x^2+3x+10=0
Ответ дал:
1
Ответ:
Объяснение:
посмотри внизу,если не устроит,можешь отметить нарушение(без обид)
Приложения:

Вас заинтересует
2 года назад
2 года назад
2 года назад
2 года назад
8 лет назад
8 лет назад
9 лет назад