Ответы
Ответ дал:
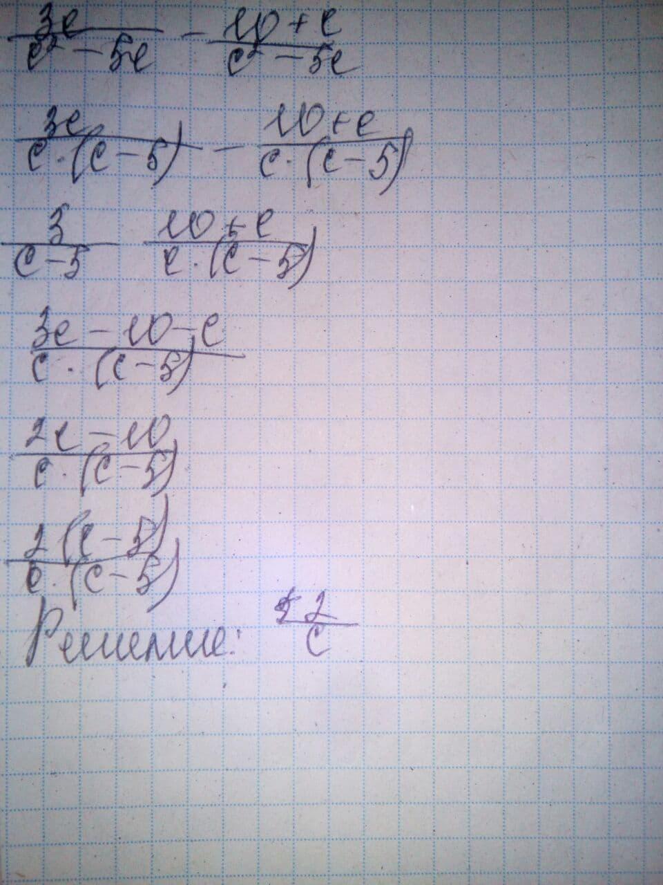
1
Ответ:
надеюсь что правильно.
Приложения:

Heroism:
Большое спасибо за ответ и за письменный вариант.
Вас заинтересует
2 года назад
2 года назад
2 года назад
8 лет назад
8 лет назад
9 лет назад
9 лет назад