• Предмет: Математика
  • Автор: sds1228
  • Вопрос задан 3 года назад

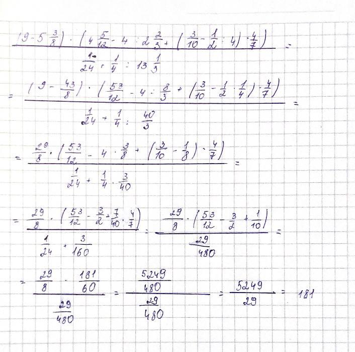
Решите уравнение любым способом

Приложения:

LFP: это НЕ уравнение... это просто пример (выражение) и нужно вычислить значение этого выражения
sds1228: Прошу прощения, просто подумал что там есть неизвестное

Ответы

Ответ дал: sofyaagafonova
1
решение на фотографии. ответ: 181
Приложения:
Вас заинтересует