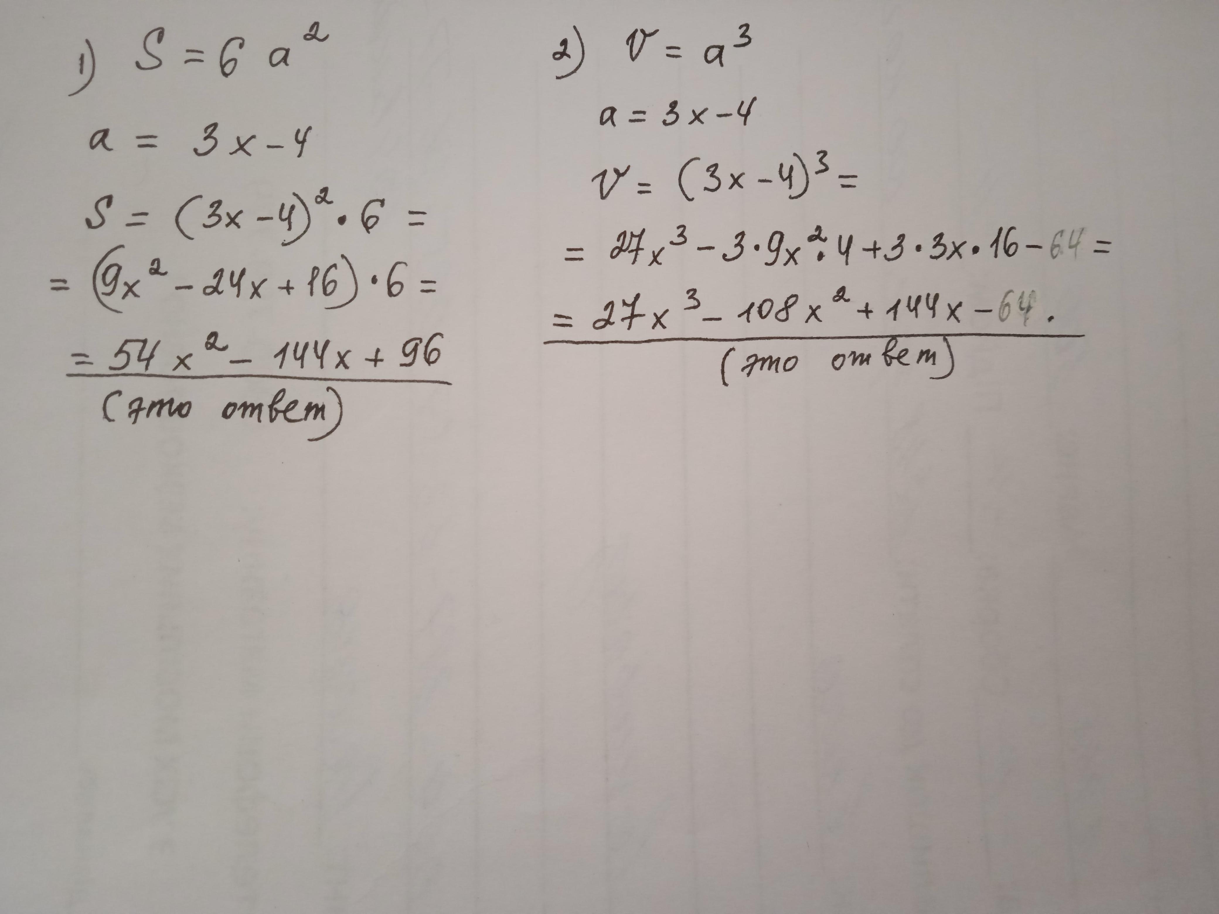
A) Напишите выражение для нахождения площади поверхности куба, используя формулу S=6а^2
b) Напишите выражение для нахождения объема куба, используя формулу V=a^3
Приложения:

Ответы
Ответ дал:
3
Ответ:
решение смотри на фотографии
Приложения:

Ответ дал:
2
:::::::::::::::Объяснение::::::::::
Приложения:

Вас заинтересует
2 года назад
2 года назад
8 лет назад
9 лет назад