Ответы
Ответ дал:
1
Ответ:
Пошаговое объяснение:
//////////////////////////////////
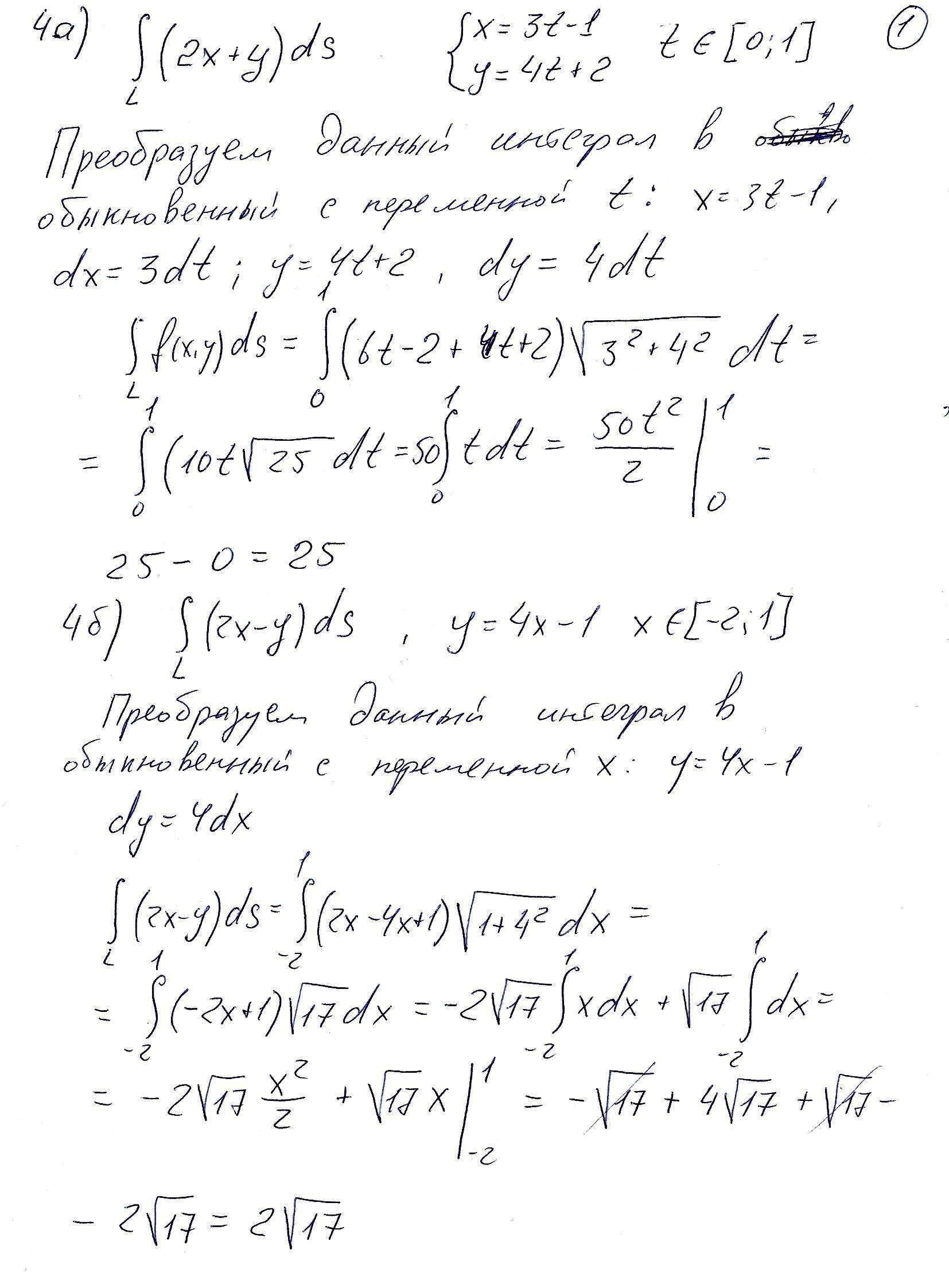
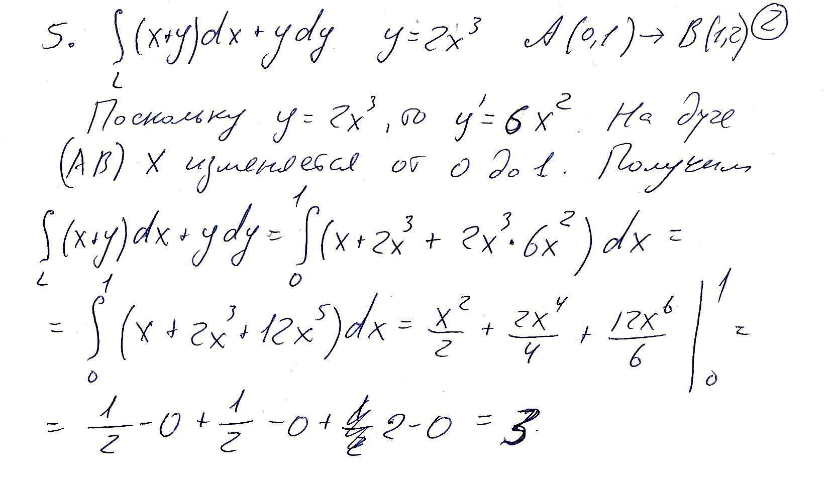
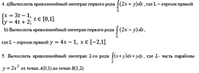
Приложения:


MolkyWay:
Спасибо)))
Вас заинтересует
2 года назад
2 года назад
2 года назад
2 года назад
8 лет назад
8 лет назад
9 лет назад